Exec review: Dan Berryman
- Updated
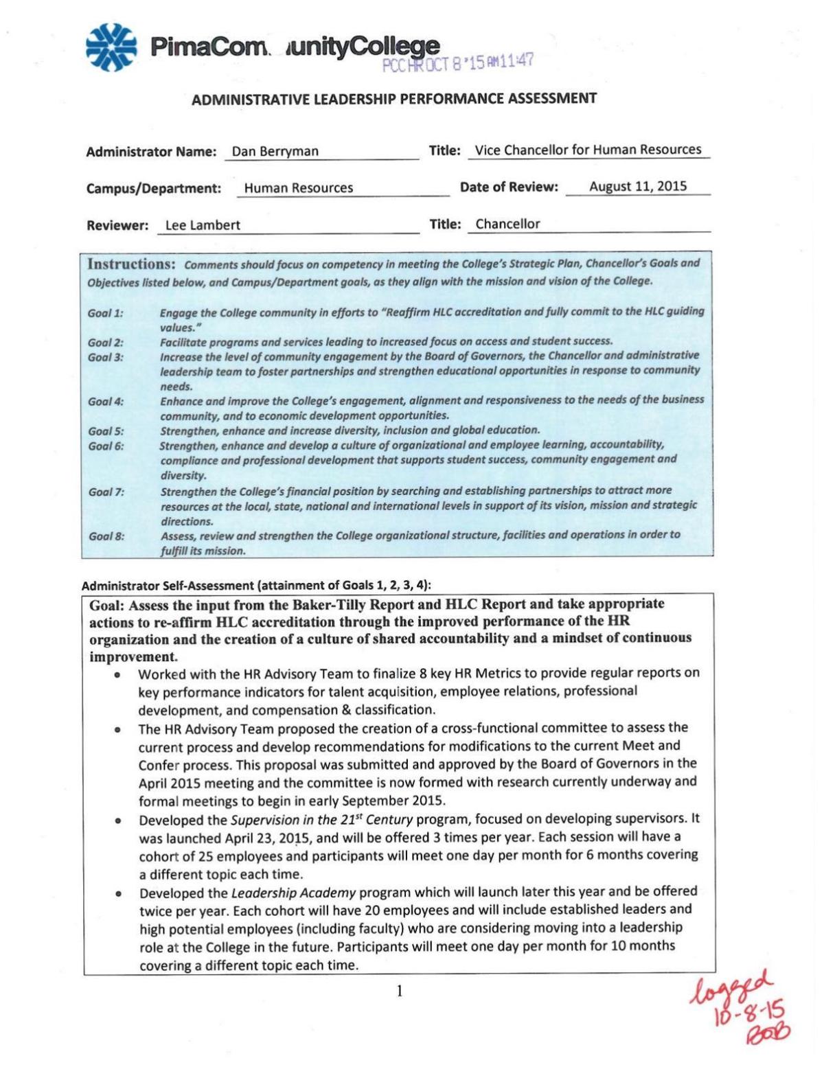
Performance evaluation for Dan Berryman, vice chancellor for human resources at Pima Community College.
As featured on
A Pima Community College executive who recently left with a $150,000 settlement received a p…
Most Popular
-
Investigators haven't questioned Tucson restaurant where Guthries filmed 'Today' show
-
Penny rounding now legal in Arizona
-
New Tucson lounge to embrace dark and cozy -
Gunfire during brawl at Tucson's Park Place leaves 2 wounded
-
Nancy Guthrie probe is not a cold case, Sheriff Chris Nanos says in wide-ranging interview

