Exec review: David Dore
- Updated
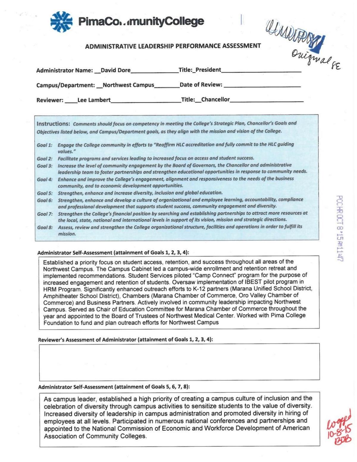
Performance evaluation for David Dore, president of Pima Community College's Northwest and Downtown campuses.
As featured on
A Pima Community College executive who recently left with a $150,000 settlement received a p…
Most Popular
-
Gunfire during brawl at Tucson's Park Place leaves 2 wounded
-
Nancy Guthrie probe is not a cold case, Sheriff Chris Nanos says in wide-ranging interview
-
Driver falls 100 feet in fatal Catalina Highway crash
-
Tipoff time, TV assignment announced for Arizona's 2nd-round NCAA Tournament game
-
Quick turnaround to Sweet 16 game vs. Arkansas is a drill Wildcats already know

